2021广东省专插本数学真题及答案
【导语】数学是广东省专插本考试非常重要的一门,很多同学都需要刷题,广东专升本数学真题及答案2021,现在给大家分享一下,一起来看看吧。

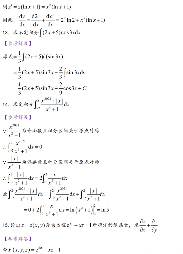
广东省专插本数学真题及答案2021





本文标签:广东省专插本 高等数学 2021广东省专插本数学真题及答案
转载请注明:文章转载自(http://www.zsb.gd.cn)
欢迎关注“广东普通专插本网”微信公众平台![]() (广东专插本资讯,一手掌握!) |
欢迎加入“广东普通专插本网”微信交流群![]() (扫码进群,领取《 |
《广东普通专插本网》免责声明:
(一)由于考试政策等各方面情况的不断调整与变化,本网站所提供的考试信息仅供参考,请以省考试院及院校官方发布公布的正式信息为准。
(二)本站文章内容信息来源出处标注为其他平台的稿件均为转载稿,免费转载出于非商业性学习目的,版权归原作者所有。如您对内容、版权等问题存在异议请与本站联系,我们会及时进行处理解决,联系邮箱:812379481@qq.com。



