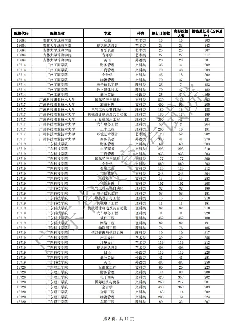
2021年广东专插本各院校专业投档线(汇总)
据《广东省教育考试院分数线公布》,广东省2020年普通高校本科插班生(含三二分段专升本转段考核,下同)招生录取工作于7月26日开始投档。40所招生院校共投出考生40333人,其中,本科插班生投出38681人,三二分段投出1652人。从投档录取情况看,今年本科插班生计划充足、生源良好,一次性满档率较高,本科插班生有22所院校一次性满档,特别是珠三角地区公办本科院校和一些办学基础较好的民办院校、独立学院生源较好,基本都一次性满档,且投档线居高不下。但个别公办院校的校外教学点专业,以及新晋升的职业技术大学和部分民办独立学院生源仍不够理想,尚有部分缺额计划。
据了解,今年为使更多的考生有上本科院校的机会,在第一阶段录取结束后,省招生办将对未完成招生计划的缺额院校进行征集志愿录取,并通过省教育考试院官网、官微向社会公布,请广大考生密切留意有关信息。根据招生录取日程安排,7月30日第一次录取结束,7月31日开始征集志愿,8月4-5日进行征集志愿录取。











本文标签:广东省专插本 专业投档线 2021年广东专插本各院校专业投档线(汇总)
转载请注明:文章转载自(http://www.zsb.gd.cn)
欢迎关注“广东普通专插本网”微信公众平台![]() (广东专插本资讯,一手掌握!) |
欢迎加入“广东普通专插本网”微信交流群![]() (扫码进群,领取《 |
上一篇:暂无
下一篇:暂无
《广东普通专插本网》免责声明:
(一)由于考试政策等各方面情况的不断调整与变化,本网站所提供的考试信息仅供参考,请以省考试院及院校官方发布公布的正式信息为准。
(二)本站文章内容信息来源出处标注为其他平台的稿件均为转载稿,免费转载出于非商业性学习目的,版权归原作者所有。如您对内容、版权等问题存在异议请与本站联系,我们会及时进行处理解决,联系邮箱:812379481@qq.com。



